

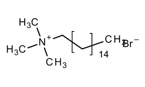
N-Cetyl-N,N,N-trimethylammonium bromide - CAS - (57-09-0)
Customize
Product Details
Key Properties
CTAB has a molecular formula of C₁₉H₄₂BrN and a molecular weight of 364.46. It exhibits a melting point of 248-251°C, is odorless, and forms clear solutions in water with a pH of 5-7.
Common Applications
Precipitant for DNA/RNA extraction in lab protocols.
Detergent for membrane protein isolation, such as alkaline phosphatase.
Used in antimicrobial formulations and nanoparticle synthesis.
Safety Information
Handle with care due to hazards including skin/eye irritation (H315, H318), harm if swallowed (H302), and aquatic toxicity (H400). Wear protective gear and store in a cool, dry place.
Availability in India
Suppliers like Loba Chemie, CDH Fine Chemicals, and HiMedia offer AR or molecular biology grades in 100 gm packs, often at 99% purity. Your site lists it for nucleic acid work.
























